Приказ ФСФР России от 07.08.2012 N 12-70/пз-н "О внесении изменений в Типовой договор доверительного управления накоплениями для жилищного обеспечения военнослужащих, утвержденный приказом Федеральной службы по финансовым рынкам от 2 апреля 2009 г. N 09-11/пз-н" (Зарегистрировано в Минюсте России 03.12.2012 N 25991)
Зарегистрировано в Минюсте России 3 декабря 2012 г. N 25991
ФЕДЕРАЛЬНАЯ СЛУЖБА ПО ФИНАНСОВЫМ РЫНКАМ
от 7 августа 2012 г. N 12-70/пз-н
В ТИПОВОЙ ДОГОВОР ДОВЕРИТЕЛЬНОГО УПРАВЛЕНИЯ НАКОПЛЕНИЯМИ
ДЛЯ ЖИЛИЩНОГО ОБЕСПЕЧЕНИЯ ВОЕННОСЛУЖАЩИХ, УТВЕРЖДЕННЫЙ
ПРИКАЗОМ ФЕДЕРАЛЬНОЙ СЛУЖБЫ ПО ФИНАНСОВЫМ РЫНКАМ
ОТ 2 АПРЕЛЯ 2009 Г. N 09-11/ПЗ-Н
В соответствии с пунктом 2 статьи 17, пунктом 4 статьи 18 и пунктом 2 статьи 19 Федерального закона от 20 августа 2004 г. N 117-ФЗ "О накопительно-ипотечной системе жилищного обеспечения военнослужащих" (Собрание законодательства Российской Федерации, 2004, N 34, ст. 3532; 2006, N 6, ст. 636; 2007, N 50, ст. 6237; 2008, N 30, ст. 3616; 2009, N 48, ст. 5731; 2011, N 27, ст. 3879; 2012, N 26, ст. 3443), постановлением Правительства Российской Федерации от 8 ноября 2005 г. N 666 "Об уполномоченных федеральных органах исполнительной власти, осуществляющих функции по нормативно-правовому регулированию и государственному контролю (надзору) в сфере отношений по формированию, инвестированию и использованию накоплений для жилищного обеспечения военнослужащих - участников накопительно-ипотечной системы" (Собрание законодательства Российской Федерации, 2005, N 46, ст. 4681; 2011, N 36, ст. 5148) и Положением о Федеральной службе по финансовым рынкам, утвержденным постановлением Правительства Российской Федерации от 29.08.2011 N 717 (Собрание законодательства Российской Федерации, 2011, N 36, ст. 5148; 2012, N 20, ст. 2562), приказываю:
1. В Типовой договор доверительного управления накоплениями для жилищного обеспечения военнослужащих, утвержденный приказом ФСФР России от 02.04.2009 N 09-11/пз-н (зарегистрирован в Министерстве юстиции Российской Федерации 12.05.2009 N 13911), внести следующие изменения:
1) дополнить пунктом 12.1 следующего содержания:
"12.1. Инвестиционная декларация управляющей компании утверждается управляющей компанией и представляется в уполномоченный федеральный орган в течение 10 дней после подписания договора доверительного управления.";
2) дополнить пунктом 43.1 следующего содержания:
"43.1. Управляющая компания обязана корректировать инвестиционную декларацию, в том числе структуру инвестиционного портфеля, в соответствии с определенными уполномоченным федеральным органом требованиями и в установленный уполномоченным федеральным органом срок.";
3) дополнить пунктом 43.2 следующего содержания:
"43.2. В случае получения требования от уполномоченного федерального органа о корректировке инвестиционной декларации управляющая компания обязана представить в уполномоченный федеральный орган новую инвестиционную декларацию с соответствующими изменениями в течение 10 дней, следующих за датой получения уведомления.";
4) в пункте 45 слова "денежные средства и ценные бумаги" заменить словами "активы";
5) дополнить пунктом 55.1 следующего содержания:
"55.1. Уполномоченный федеральный орган уведомляет управляющую компанию о корректировке инвестиционной декларации не менее чем за 10 дней до даты внесения таких изменений.";
6) дополнить пунктом 60.1 следующего содержания:
"60.1. Уполномоченный федеральный орган определяет в соответствии с Федеральным законом требования к инвестиционной декларации управляющей компании, в том числе структуру инвестиционного портфеля с учетом требований Федерального закона.";
7) пункт 61 изложить в следующей редакции:
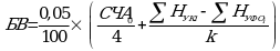
"61. Вознаграждение управляющей компании по настоящему договору (включая НДС) составляет величину, равную сумме базовой части вознаграждения и вознаграждения за положительный финансовый результат от инвестирования накоплений для жилищного обеспечения военнослужащих, полученный за отчетный год (далее - вознаграждение за успех).
Базовая часть вознаграждения рассчитывается по формуле:
- базовая часть вознаграждения;
- стоимость чистых активов инвестиционного портфеля, рассчитанная на начало отчетного года или, если договор доверительного управления заключен в текущем году, на дату заключения указанного договора;
- размер накоплений для жилищного обеспечения, переданных уполномоченным федеральным органом в состав инвестиционного портфеля в текущем году (включая активы, указанные в пункте 45 настоящего договора), на i-й день отчетного квартала;
- размер накоплений для жилищного обеспечения, переданных в текущем году из инвестиционного портфеля уполномоченному федеральному органу или указанному им лицу, на i-й день отчетного квартала;
- количество календарных дней в отчетном году.
Вознаграждение за успех рассчитывается по формуле:
в случае если доходность не превышает среднегодовую ставку рефинансирования Центрального банка Российской Федерации за отчетный год (далее - среднегодовая ставка рефинансирования):
- вознаграждение за успех, в случае если доходность не превышает среднегодовую ставку рефинансирования;
- положительный финансовый результат от инвестирования накоплений для жилищного обеспечения, полученный за отчетный год, определяемый в порядке, установленном федеральным органом исполнительной власти в области финансовых рынков по согласованию с уполномоченным федеральным органом;
в случае если доходность превышает среднегодовую ставку рефинансирования:
- вознаграждение за успех, в случае, если доходность превышает среднегодовую ставку рефинансирования;
- базовый финансовый результат, исчисляемый исходя из среднегодовой ставки рефинансирования и величины накоплений для жилищного обеспечения;
- положительный финансовый результат от инвестирования накоплений для жилищного обеспечения, полученный за отчетный год, определяемый в порядке, установленном федеральным органом исполнительной власти в области финансовых рынков по согласованию с уполномоченным федеральным органом;
- среднегодовая ставка рефинансирования;
- стоимость чистых активов инвестиционного портфеля, рассчитанная на начало отчетного года, или, если договор доверительного управления заключен в текущем году, на дату заключения указанного договора;
- размер накоплений для жилищного обеспечения, переданных уполномоченным федеральным органом в состав инвестиционного портфеля в текущем году (включая активы, указанные в пункте 45 настоящего договора), на i-й день отчетного квартала;
- размер накоплений для жилищного обеспечения, переданных в текущем году из инвестиционного портфеля уполномоченному федеральному органу или указанному им лицу, на i-й день отчетного квартала;
- количество дней в отчетном году.
Если по окончании отчетного года финансовый результат оказался отрицательным, базовая часть вознаграждения, полученная управляющей компанией в течение отчетного года, подлежит возврату в инвестиционный портфель в размере указанного финансового результата, но не более 50 процентов полученной базовой части вознаграждения.
В случае прекращения настоящего договора до завершения отчетного года размер вознаграждения управляющей компании определяется пропорционально фактическому сроку действия настоящего договора в течение отчетного года.
Вознаграждение управляющей компании не входит в состав необходимых расходов на инвестирование накоплений.";
8) пункт 62 после слов "расходы, связанные с инвестированием накоплений в паи паевых инвестиционных фондов" дополнить абзацем следующего содержания:
"расходы, связанные с инвестированием накоплений в закладные, залогодателями по которым являются участники накопительно-ипотечной системы.".
2. В приложение N 3 к Типовому договору доверительного управления накоплениями для жилищного обеспечения военнослужащих, утвержденному приказом ФСФР России от 02.04.2009 N 09-11/пз-н (зарегистрирован в Министерстве юстиции Российской Федерации 12.05.2009 N 13911), внести следующие изменения:
в пункте 5 графу "Вид актива":
дополнить пунктом 9.1 следующего содержания:
"9.1. Депозитные сертификаты";
дополнить пунктом 11 следующего содержания:
"11. Закладные, залогодателями по которым являются участники накопительно-ипотечной системы".
3. Приложение N 4 к Типовому договору доверительного управления накоплениями для жилищного обеспечения военнослужащих, утвержденному приказом ФСФР России от 02.04.2009 N 09-11/пз-н (зарегистрирован в Министерстве юстиции Российской Федерации 12.05.2009 N 13911), исключить.
Д.В.ПАНКИН
- Гражданский кодекс (ГК РФ)
- Жилищный кодекс (ЖК РФ)
- Налоговый кодекс (НК РФ)
- Трудовой кодекс (ТК РФ)
- Уголовный кодекс (УК РФ)
- Бюджетный кодекс (БК РФ)
- Арбитражный процессуальный кодекс
- Конституция РФ
- Земельный кодекс (ЗК РФ)
- Лесной кодекс (ЛК РФ)
- Семейный кодекс (СК РФ)
- Уголовно-исполнительный кодекс
- Уголовно-процессуальный кодекс
- Производственный календарь на 2025 год
- МРОТ 2025
- ФЗ «О банкротстве»
- О защите прав потребителей (ЗОЗПП)
- Об исполнительном производстве
- О персональных данных
- О налогах на имущество физических лиц
- О средствах массовой информации
- Производственный календарь на 2026 год
- Федеральный закон "О полиции" N 3-ФЗ
- Расходы организации ПБУ 10/99
- Минимальный размер оплаты труда (МРОТ)
- Календарь бухгалтера на 2025 год
- Частичная мобилизация: обзор новостей
- Постановление Правительства РФ N 1875


,