Для более точного планирования развития инфраструктуры спортивных сооружений и видов спортивно-оздоровительных услуг для населения необходим прогноз численности и структуры населения каждого муниципального образования. Для этого необходимо обратиться к методикам расчета этих показателей.
Прогнозные значения численности населения можно определить с помощью среднего абсолютного прироста и среднего коэффициента роста.
Прогнозирование по формуле среднего абсолютного прироста используется в том случае, если принимается допущение, что с каждым годом численность населения изменяется на одно и то же значение. При этом прогноз рассчитывается по формуле:
S(о) - численность населения на начало периода;
d(ср) - средний абсолютный прирост;
S(t) - численность населения на прогнозируемый период.
Прогнозирование с помощью среднего коэффициента роста осуществляется тогда, когда предполагается, что численность населения с каждым годом изменяется в одно и то же число раз. В этом случае прогнозное значение рассчитывается по формуле:
S(о) - численность населения на начало периода;
К(ср) - средний коэффициент роста;
S(t) - численность населения на прогнозируемый период.
Прогнозы на основе показателей естественного и механического движения населения.
Данный подход основывается на гипотезе, что сложившиеся тенденции в движении населения в прошлом сохранятся в будущем на период прогнозирования.
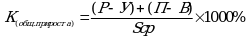
Прогнозная численность населения может быть рассчитана на основе коэффициента общего прироста населения по формуле:
S(о) - численность населения на начало периода;
S(t) - численность населения на прогнозируемый период;
К(общ.прироста) - коэффициент общего прироста:
(Р - У) - естественный прирост населения; (Р - рост; У - убыль)
(П - В) - механический прирост населения; (П - прибыл; В - выбыл)
Sср - средняя численность населения.
Метод передвижки возрастов прогнозирует численность населения возрасте x + 1 на основе анализа таблиц смертности по формуле:
- Гражданский кодекс (ГК РФ)
- Жилищный кодекс (ЖК РФ)
- Налоговый кодекс (НК РФ)
- Трудовой кодекс (ТК РФ)
- Уголовный кодекс (УК РФ)
- Бюджетный кодекс (БК РФ)
- Арбитражный процессуальный кодекс
- Конституция РФ
- Земельный кодекс (ЗК РФ)
- Лесной кодекс (ЛК РФ)
- Семейный кодекс (СК РФ)
- Уголовно-исполнительный кодекс
- Уголовно-процессуальный кодекс
- Производственный календарь на 2025 год
- МРОТ 2026
- ФЗ «О банкротстве»
- О защите прав потребителей (ЗОЗПП)
- Об исполнительном производстве
- О персональных данных
- О налогах на имущество физических лиц
- О средствах массовой информации
- Производственный календарь на 2026 год
- Федеральный закон "О полиции" N 3-ФЗ
- Расходы организации ПБУ 10/99
- Минимальный размер оплаты труда (МРОТ)
- Календарь бухгалтера на 2026 год
- Частичная мобилизация: обзор новостей
- Постановление Правительства РФ N 1875




