постановлением Правительства
Российской Федерации
от 26 ноября 2020 г. N 1953
Правила предоставления субсидий производителям сельскохозяйственной техники изложить в следующей редакции:
постановлением Правительства
Российской Федерации
от 27 декабря 2012 г. N 1432
(в редакции постановления
Правительства Российской Федерации
от 26 ноября 2020 г. N 1953)
ПРЕДОСТАВЛЕНИЯ СУБСИДИЙ ПРОИЗВОДИТЕЛЯМ
СЕЛЬСКОХОЗЯЙСТВЕННОЙ ТЕХНИКИ
1. Настоящие Правила устанавливают порядок, цели и условия предоставления субсидий из федерального бюджета производителям сельскохозяйственной техники на возмещение недополученных доходов, возникших вследствие реализации сельскохозяйственной техники, в рамках подпрограммы "Развитие транспортного и специального машиностроения" государственной программы Российской Федерации "Развитие промышленности и повышение ее конкурентоспособности" (далее соответственно - субсидии, производители).
Субсидии предоставляются производителям в целях достижения индекса производства продукции по отношению к предыдущему финансовому году (производство машин и оборудования для сельского и лесного хозяйства) путем стимулирования реализации конкурентоспособной сельскохозяйственной техники на внутреннем рынке.
Сведения о субсидиях размещаются на едином портале бюджетной системы Российской Федерации в информационно-телекоммуникационной сети "Интернет" в разделе "Бюджет" (далее соответственно - единый портал, сеть "Интернет") при формировании проекта федерального закона о федеральном бюджете (проекта федерального закона о внесении изменений в федеральный закон о федеральном бюджете на текущий год и плановый период).
2. Используемые в настоящих Правилах понятия означают следующее:
"дата поставки продукции" - день подписания производителем (продавцом) и покупателем акта приема-передачи продукции или акта технической приемки продукции;
"дилерский договор" - договор поставки продукции, заключенный с продавцом;
"договор о реализации продукции" - договор о реализации продукции (дополнительное соглашение, приложение и (или) спецификация к нему), в соответствии с которым производитель (продавец) обязуется передать продукцию в собственность покупателю;
"отбор" - отбор производителей, проводимый способом запроса предложений на основании заявок, направленных производителями для участия в отборе, исходя из соответствия производителей критериям отбора, установленным настоящими Правилами;
"контрагент производителя" - юридическое лицо или индивидуальный предприниматель, являющиеся налоговыми резидентами Российской Федерации, осуществляющие часть технологических операций, соответствующих требованиям согласно приложению N 1, или передающие их результат производителю по гражданско-правовому договору, заключенному с производителем;
"лизинговая компания" - коммерческая организация - резидент Российской Федерации, приобретающая в ходе реализации договора финансовой аренды (лизинга) в собственность продукцию у производителя (продавца) и предоставляющая ее в соответствии с договором финансовой аренды (лизинга) лизингополучателю за определенную плату, на определенный срок и на определенных условиях во временное владение и в пользование с переходом или без перехода к лизингополучателю права собственности на продукцию;
"лизингополучатель" - юридическое лицо, или индивидуальный предприниматель, или гражданин, являющиеся сельскохозяйственными товаропроизводителями либо осуществляющие производство и (или) переработку продукции растениеводства и (или) животноводства и (или) производство продуктов мукомольной и крупяной промышленности и (или) готовых кормов для животных, заключившие договор финансовой аренды (лизинга) с лизинговой компанией;
"показатель, необходимый для достижения результата предоставления субсидии" - отношение стоимостного объема продукции, реализованной производителем на территории Российской Федерации в соответствующем финансовом году (без учета налога на добавленную стоимость), к объему субсидии, предоставляемой производителю в соответствующем финансовом году (в 2020 году в объем субсидии, предоставляемой производителю в соответствующем финансовом году, не включается объем субсидии, предоставленной производителям, предоставившим скидку на продукцию в 2019 году, поставка которой осуществлена не позднее 31 декабря 2019 г.). В 2020 году при предоставлении субсидии производителям, предоставившим скидку на продукцию в 2019 году, поставка которой осуществлена не позднее 31 декабря 2019 г., показателем, необходимым для достижения результата предоставления субсидии, является отношение стоимостного объема продукции, реализованной производителем на территории Российской Федерации (без учета налога на добавленную стоимость), субсидия по которой не предоставлялась производителю в 2019 году, к объему субсидии, предоставляемой производителю в 2020 году;
"покупатель" - юридическое лицо, или индивидуальный предприниматель, или гражданин, являющиеся сельскохозяйственными товаропроизводителями либо осуществляющие производство и (или) переработку продукции растениеводства и (или) животноводства и (или) производство продуктов мукомольной и крупяной промышленности и (или) готовых кормов для животных, или лизинговая компания, приобретающая продукцию для последующей передачи лизингополучателю;
"продавец" - юридическое лицо или индивидуальный предприниматель, реализующие продукцию;
"продукция" - сельскохозяйственная техника или оборудование, предназначенные для выполнения сельскохозяйственных работ, по перечню, предусмотренному приложением N 1 к настоящим Правилам;
"проект реестра получателей субсидии" - перечень производителей, прошедших отбор в соответствии с настоящими Правилами, с которыми в соответствующем финансовом году могут быть заключены соглашения о предоставлении субсидии, по форме согласно приложению N 2;
"реестр получателей субсидии" - перечень производителей, прошедших отбор в соответствии с настоящими Правилами, с которыми в соответствующем финансовом году заключены соглашения о предоставлении субсидии, по форме, предусмотренной приложением N 2 к настоящим Правилам;
"реестр получателей субсидии в отношении договоров о реализации продукции, заключенных в 2019 году" - перечень производителей, которые непосредственно или через продавца предоставили скидку покупателям продукции в соответствии с договорами о реализации продукции, заключенными в 2019 году, поставка продукции по которым была осуществлена не позднее 31 декабря 2019 г. и субсидия на которую не предоставлялась производителю в 2019 году, с которым в 2020 году заключено соглашение о предоставлении субсидии, содержащее размер субсидии на 2020 год, показатель, необходимый для достижения результата предоставления субсидии, и результат предоставления субсидии;
"результат предоставления субсидии" - стоимостный объем продукции, реализованной производителем на территории Российской Федерации в соответствующем финансовом году (без учета налога на добавленную стоимость). Результатом предоставления субсидии в 2020 году для производителей, предоставивших скидку на продукцию в 2019 году, поставка которой осуществлена не позднее 31 декабря 2019 г., является стоимостный объем продукции, которая реализована производителем на территории Российской Федерации и субсидия на которую не предоставлялась производителю в 2019 году (без учета налога на добавленную стоимость);
"скидка" - льгота в виде скидки, предоставляемая покупателю непосредственно производителем или через продавца в соответствии с договором о реализации продукции.
3. Субсидии предоставляются производителю, включенному в реестр получателей субсидии в отношении договоров о реализации продукции, заключенных в 2019 году, и (или) реестр получателей субсидии, при условии, что покупателю продукции в соответствии с договором о реализации продукции предоставлена в отношении единицы продукции скидка в размере не меньше размера субсидии.
4. Размер субсидии, предоставляемой производителю в 2020 году, не может превышать величину, определяемую как сумма размера субсидии, предоставляемой производителю в отношении договоров о реализации продукции, заключенных в 2019 году, субсидия в отношении которых не предоставлялась производителю в 2019 году, и субсидии, предоставляемой производителю в отношении договоров о реализации продукции, заключенных не ранее 1 ноября 2019 г. и не позднее 1 декабря 2020 г., поставка продукции по которым осуществлена в 2020 году.
5. Размер субсидии, предоставляемой производителю в отношении договоров о реализации продукции, заключенных в 2019 году, субсидия в отношении которых не предоставлялась производителю в 2019 году, не может превышать величину (S2019), определяемую по формуле:
- цена единицы модификации продукции на 2019 год на условиях франко-завод (без учета налога на добавленную стоимость), представленная производителем в 2019 году в Министерство сельского хозяйства Российской Федерации;
- количество единиц модификации продукции, поставленной покупателям в 2019 году, за исключением продукции, поставленной покупателям, зарегистрированным на территории субъектов Российской Федерации, входящих в состав Сибирского федерального округа и Дальневосточного федерального округа, а также Республики Крым, г. Севастополя и Калининградской области, в 2019 году, а в случае, если покупателем является лизинговая компания, - за исключением продукции, поставленной лизингополучателям, зарегистрированным на территории субъектов Российской Федерации, входящих в состав Сибирского федерального округа и Дальневосточного федерального округа, а также Республики Крым, г. Севастополя и Калининградской области, по договорам финансовой аренды (лизинга) в 2019 году;
- количество единиц модификации продукции, поставленной покупателям, зарегистрированным на территории субъектов Российской Федерации, входящих в состав Сибирского федерального округа и Дальневосточного федерального округа, а также Республики Крым, г. Севастополя и Калининградской области, в 2019 году, а в случае, если покупателем является лизинговая компания, - количество единиц модификации продукции, поставленной лизингополучателям, зарегистрированным на территории субъектов Российской Федерации, входящих в состав Сибирского федерального округа и Дальневосточного федерального округа, а также Республики Крым, г. Севастополя и Калининградской области, по договорам финансовой аренды (лизинга) в 2019 году;
n - количество модификаций продукции.
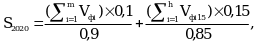
6. Размер субсидии, предоставляемой производителю в отношении договоров о реализации продукции, заключенных не ранее 1 ноября 2019 г. и не позднее 1 декабря 2020 г., поставка продукции по которым осуществлена в 2020 году, не может превышать величину (S2020), определяемую по формуле:
Vфi - совокупная стоимость продукции с учетом скидки по договору о реализации продукции (без учета налога на добавленную стоимость);
m - количество договоров о реализации продукции, заключенных не ранее 1 ноября 2019 г. и не позднее 1 декабря 2020 г., поставка продукции по которым осуществлена в 2020 году;
Vфi15 - совокупная стоимость продукции с учетом скидки по договору о реализации продукции, заключенному с покупателем, зарегистрированным на территории субъекта Российской Федерации, входящего в состав Сибирского федерального округа, или Дальневосточного федерального округа, или Республики Крым, или г. Севастополя, или Калининградской области (без учета налога на добавленную стоимость), или с покупателем, являющимся лизинговой компанией, приобретающим продукцию для ее последующей передачи по договору финансовой аренды (лизинга) лизингополучателю, зарегистрированному на территории субъекта Российской Федерации, входящего в состав Сибирского федерального округа, или Дальневосточного федерального округа, или Республики Крым, или г. Севастополя, или Калининградской области (без учета налога на добавленную стоимость);
h - количество договоров о реализации продукции, заключенных не ранее 1 ноября 2019 г. и не позднее 1 декабря 2020 г., поставка продукции по которым осуществлена в 2020 году покупателям, зарегистрированным на территории субъектов Российской Федерации, входящих в состав Сибирского федерального округа и Дальневосточного федерального округа, а также Республики Крым, г. Севастополя и Калининградской области, и покупателям, являющимся лизинговыми компаниями, приобретающими продукцию для ее последующей передачи по договору финансовой аренды (лизинга) лизингополучателям, зарегистрированным на территории субъекта Российской Федерации, входящего в состав Сибирского федерального округа и Дальневосточного федерального округа, а также Республики Крым, г. Севастополя и Калининградской области.
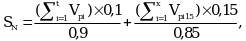
7. Размер субсидии, предоставляемой производителю начиная с 2021 года, не может превышать величину (SN), определяемую по формуле:
Vрi - совокупная стоимость продукции с учетом скидки по договору о реализации продукции, заключенному не ранее 1 октября года, предшествующего году получения субсидии, поставка продукции по которому осуществлена не ранее 1 января года получения субсидии (без учета налога на добавленную стоимость);
t - количество договоров о реализации продукции, заключенных не ранее 1 октября года, предшествующего году получения субсидии, поставка продукции по которым осуществлена не ранее 1 января года получения субсидии;
Vрi15 - совокупная стоимость продукции с учетом скидки по договору о реализации продукции, заключенному не ранее 1 октября года, предшествующего году получения субсидии, поставка продукции по которому осуществлена не ранее 1 января года получения субсидии, с покупателем, зарегистрированным на территории субъекта Российской Федерации, входящего в состав Сибирского федерального округа, или Дальневосточного федерального округа, или Республики Крым, или г. Севастополя, или Калининградской области (без учета налога на добавленную стоимость), или с покупателем, являющимся лизинговой компанией, приобретающим продукцию для ее последующей передачи по договору финансовой аренды (лизинга) лизингополучателю, зарегистрированному на территории субъекта Российской Федерации, входящего в состав Сибирского федерального округа, или Дальневосточного федерального округа, или Республики Крым, или г. Севастополя, или Калининградской области (без учета налога на добавленную стоимость);
x - количество договоров о реализации продукции, заключенных не ранее 1 октября года, предшествующего году получения субсидии, поставка продукции по которым осуществлена не ранее 1 января года получения субсидии покупателям, зарегистрированным на территории субъектов Российской Федерации, входящих в состав Сибирского федерального округа и Дальневосточного федерального округа, а также Республики Крым, г. Севастополя и Калининградской области, и покупателям, являющимся лизинговыми компаниями, приобретающими продукцию для ее последующей передачи по договору финансовой аренды (лизинга) лизингополучателям, зарегистрированным на территории субъекта Российской Федерации, входящего в состав Сибирского федерального округа и Дальневосточного федерального округа, а также Республики Крым, г. Севастополя и Калининградской области.
8. Размер субсидии, предоставляемой одному производителю (группе производителей, являющихся взаимозависимыми лицами, признанными таковыми в соответствии с пунктом 1 статьи 105.1 Налогового кодекса Российской Федерации) в соответствующем году, не может превышать 70 процентов лимитов бюджетных обязательств, доведенных в установленном порядке до Министерства промышленности и торговли Российской Федерации как получателя средств федерального бюджета на цели, указанные в пункте 1 настоящих Правил.
В 2020 году условие, предусмотренное абзацем первым настоящего пункта, не применяется к субсидии, предоставляемой производителю в отношении договоров о реализации продукции, заключенных в 2019 году, субсидия в отношении которых не предоставлялась производителю в 2019 году.
9. Право на включение в реестр получателей субсидии в отношении договоров о реализации продукции, заключенных в 2019 году, и (или) реестр получателей субсидии имеет производитель, соответствующий хотя бы одному из следующих требований:
а) производителем и контрагентом (контрагентами) производителя (в случае осуществления им (ими) части технологических операций) при производстве продукции осуществляются на территории Российской Федерации технологические операции, предусмотренные приложением N 1 к настоящим Правилам, и у производителя в отношении этой продукции имеются права на конструкторскую и технологическую документацию на осуществление таких технологических операций;
б) производитель заключил специальный инвестиционный контракт в сфере производства продукции с Министерством промышленности и торговли Российской Федерации в соответствии с Правилами заключения специальных инвестиционных контрактов, утвержденными постановлением Правительства Российской Федерации от 16 июля 2015 г. N 708 "О специальных инвестиционных контрактах для отдельных отраслей промышленности", или в соответствии с Правилами заключения, изменения и расторжения специальных инвестиционных контрактов, утвержденными постановлением Правительства Российской Федерации от 16 июля 2020 г. N 1048 "Об утверждении Правил заключения, изменения и расторжения специальных инвестиционных контрактов" (далее - инвестиционный контракт), и в полном объеме выполняет обязательства в рамках инвестиционного контракта, в том числе в части осуществления технологических операций при производстве продукции.
10. Производитель по состоянию на дату не ранее чем за 30 календарных дней до дня подачи указанной в пункте 12 настоящих Правил заявки о включении в реестр получателей субсидии в отношении договоров о реализации продукции, заключенных в 2019 году, и (или) указанной в пункте 15 настоящих Правил заявки об участии в отборе должен соответствовать следующим требованиям:
а) у производителя отсутствует неисполненная обязанность по уплате налогов, сборов, страховых взносов, пеней, штрафов и процентов, подлежащих уплате в соответствии с законодательством Российской Федерации о налогах и сборах;
б) у производителя отсутствуют просроченная задолженность по возврату в федеральный бюджет субсидий, бюджетных инвестиций, предоставленных в том числе в соответствии с иными правовыми актами, а также иная просроченная (неурегулированная) задолженность по денежным обязательствам перед федеральным бюджетом;
в) производитель - юридическое лицо не находится в процессе реорганизации, ликвидации, в отношении производителя не введена процедура банкротства, деятельность производителя не приостановлена в порядке, предусмотренном законодательством Российской Федерации, а производитель - индивидуальный предприниматель не прекратил деятельность в качестве индивидуального предпринимателя;
г) производитель не является иностранным юридическим лицом, а также российским юридическим лицом, в уставном (складочном) капитале которого доля участия иностранных юридических лиц, местом регистрации которых является государство или территория, включенные в утвержденный Министерством финансов Российской Федерации перечень государств и территорий, предоставляющих льготный налоговый режим налогообложения и (или) не предусматривающих раскрытия и предоставления информации при проведении финансовых операций (офшорные зоны), в совокупности превышает 50 процентов;
д) производитель не получает средства из федерального бюджета на основании иных нормативных правовых актов Российской Федерации на цели, указанные в пункте 1 настоящих Правил;
е) в реестре дисквалифицированных лиц отсутствуют сведения о дисквалифицированных руководителе, членах коллегиального исполнительного органа, лице, исполняющем функции единоличного исполнительного органа, или главном бухгалтере (при наличии) производителя.
11. Субсидия предоставляется на основании соглашения о предоставлении субсидии, заключенного между Министерством промышленности и торговли Российской Федерации и производителем в соответствии с типовой формой, установленной Министерством финансов Российской Федерации (далее - соглашение о предоставлении субсидии).
Соглашение о предоставлении субсидии заключается в форме электронного документа с использованием государственной интегрированной информационной системы управления общественными финансами "Электронный бюджет" и подписывается усиленной квалифицированной электронной подписью лиц, имеющих право действовать от имени каждой из сторон.
В соглашении о предоставлении субсидии предусматриваются в том числе согласие производителя на проведение Министерством промышленности и торговли Российской Федерации и органами государственного финансового контроля проверок соблюдения производителем порядка, целей и условий предоставления субсидии, которые установлены настоящими Правилами, значение результата предоставления субсидии и значение показателя, необходимого для достижения результата предоставления субсидии, а также условия о согласовании новых условий соглашения о предоставлении субсидии или о расторжении соглашения о предоставлении субсидии при недостижении согласия по новым условиям - в случае уменьшения Министерству промышленности и торговли Российской Федерации как получателю бюджетных средств на соответствующий финансовый год ранее доведенных лимитов бюджетных обязательств, приводящего к невозможности предоставления субсидии в размере, определенном в соглашении о предоставлении субсидии.
12. В целях формирования в 2020 году реестра получателей субсидии в отношении договоров о реализации продукции, заключенных в 2019 году, производитель до 15 мая 2020 г. представляет в Министерство промышленности и торговли Российской Федерации заявку о включении в реестр получателей субсидии в отношении договоров о реализации продукции, заключенных в 2019 году, подписанную руководителем производителя (уполномоченным лицом с представлением документов, подтверждающих полномочия указанного лица), с приложением:
а) выписки из Единого государственного реестра юридических лиц, или выписки из Единого государственного реестра индивидуальных предпринимателей, или сведений о юридическом лице или индивидуальном предпринимателе, полученных с официального сайта Федеральной налоговой службы в сети "Интернет" в форме электронного документа, на дату не ранее чем за 30 календарных дней до дня подачи заявки о включении в реестр получателей субсидии в отношении договоров о реализации продукции, заключенных в 2019 году (в случае непредставления производителем такого документа Министерство промышленности и торговли Российской Федерации запрашивает его самостоятельно);
б) справки налогового органа (оригинал или нотариально заверенная копия), подтверждающей отсутствие у производителя по состоянию на дату не ранее чем за 30 календарных дней до дня подачи заявки о включении в реестр получателей субсидии в отношении договоров о реализации продукции, заключенных в 2019 году, неисполненной обязанности по уплате налогов, сборов, страховых взносов, пеней, штрафов и процентов, подлежащих уплате в соответствии с законодательством Российской Федерации о налогах и сборах (в случае непредставления производителем такого документа Министерство промышленности и торговли Российской Федерации запрашивает его самостоятельно);
в) справки, подписанной руководителем (уполномоченным лицом с представлением документов, подтверждающих полномочия указанного лица) и главным бухгалтером (при наличии) производителя, подтверждающей соответствие производителя по состоянию на дату не ранее чем за 30 календарных дней до дня подачи заявки о включении в реестр получателей субсидии в отношении договоров о реализации продукции, заключенных в 2019 году, требованиям, установленным пунктом 9 настоящих Правил;
г) справки, подписанной руководителем (уполномоченным лицом с представлением документов, подтверждающих полномочия указанного лица) и главным бухгалтером (при наличии) производителя, с указанием перечня моделей продукции и их модификаций, которые предлагались производителем к реализации на территории Российской Федерации в 2019 году, с указанием кодов Общероссийского классификатора продукции по видам экономической деятельности (ОКПД 2) и цены единицы модификации продукции на 2019 год на условиях франко-завод (без вычета скидки и без учета налога на добавленную стоимость), представленной производителем в 2019 году в Министерство сельского хозяйства Российской Федерации;
д) сведений о запрашиваемом в 2020 году размере субсидии, о результате предоставления субсидии и о показателе, необходимом для достижения результата предоставления субсидии, на основании объема скидок, предоставленных покупателям по договорам о реализации продукции, заключенным в 2019 году, поставка продукции по которым осуществлена не позднее 31 декабря 2019 г. и субсидия по которым не предоставлялась производителю в 2019 году, подписанных руководителем (уполномоченным лицом с представлением документов, подтверждающих полномочия указанного лица) и главным бухгалтером (при наличии) производителя;
е) справки, подписанной руководителем производителя (уполномоченным лицом с представлением документов, подтверждающих полномочия указанного лица), о наличии прав на конструкторскую и технологическую документацию в объеме, необходимом для осуществления разработки, производства, модернизации и обслуживания продукции и компонентов к ней, по форме согласно приложению N 3 (с приложением на электронном носителе копий документов, подтверждающих указанные права);
ж) справки, подписанной руководителем производителя (уполномоченным лицом с представлением документов, подтверждающих полномочия указанного лица), о наличии технической документации, подтверждающей осуществление на территории Российской Федерации производителем и контрагентом (контрагентами) производителя (в случае осуществления им (ими) части технологических операций) технологических операций при производстве продукции, по форме согласно приложению N 4 (с приложением на электронном носителе копий документов, подтверждающих выполнение технологических операций);
з) в отношении продукции, произведенной в рамках инвестиционного контракта, - подписанных руководителем (уполномоченным лицом с представлением документов, подтверждающих полномочия указанного лица) и главным бухгалтером (при наличии) производителя копий инвестиционного контракта и отчета об исполнении принятых по инвестиционному контракту обязательств.
13. Министерство промышленности и торговли Российской Федерации:
а) регистрирует в порядке поступления заявки о включении в реестр получателей субсидии в отношении договоров о реализации продукции, заключенных в 2019 году, и документы, указанные в пункте 12 настоящих Правил;
б) проверяет в течение 15 рабочих дней со дня окончания подачи заявок и документов, указанных в пункте 12 настоящих Правил, полноту и достоверность содержащихся в них сведений;
в) в случае, если совокупный размер запрашиваемой производителями субсидии превышает лимиты бюджетных обязательств, доведенные в установленном порядке до Министерства промышленности и торговли Российской Федерации как получателя средств федерального бюджета в 2020 году на цели, указанные в пункте 1 настоящих Правил, осуществляет пропорциональное уменьшение запрашиваемого размера субсидии, а также пересчет показателя, необходимого для достижения результата предоставления субсидии, для каждого производителя;
г) заключает с производителями соглашения о предоставлении субсидии. В случае если производитель не подписывает соглашение о предоставлении субсидии в течение 5 рабочих дней со дня его поступления на подписание с использованием государственной интегрированной информационной системы управления общественными финансами "Электронный бюджет", Министерство промышленности и торговли Российской Федерации принимает решение об отказе в заключении соглашения о предоставлении субсидии, уведомляет об этом производителя и возвращает заявку о включении в реестр получателей субсидии в отношении договоров о реализации продукции, заключенных в 2019 году, и документы, представленные производителем в соответствии с пунктом 12 настоящих Правил;
д) формирует реестр получателей субсидии в отношении договоров о реализации продукции, заключенных в 2019 году, и размещает его в государственной информационной системе промышленности в сети "Интернет";
е) уведомляет производителя об отказе во включении в реестр получателей субсидии в отношении договоров о реализации продукции, заключенных в 2019 году, и возвращает заявку о включении в этот реестр с прилагаемыми документами в случае непредставления (представления не в полном объеме) документов, указанных в пункте 12 настоящих Правил, и (или) наличия в представленных документах недостоверной информации, в том числе информации о месте нахождения производителя и его адреса, и (или) нарушения сроков их представления, и (или) несоответствия представленных документов требованиям, установленным пунктами 4 - 10 и 12 настоящих Правил.
14. В целях формирования реестра получателей субсидии на год, следующий за текущим финансовым годом, Министерство промышленности и торговли Российской Федерации проводит отбор, размещая в срок не позднее 3 календарных дней до дня начала проведения отбора на едином портале, а также в государственной информационной системе промышленности в сети "Интернет" объявление о проведении отбора по форме согласно приложению N 5 (далее - объявление).
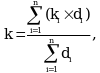
Критериями отбора производителей являются их соответствие требованиям, установленным пунктами 9 и 10 настоящих Правил, а также установленные ими значения запланированного к достижению показателя, необходимого для достижения результата предоставления субсидии, на соответствующий финансовый год в размере не менее 6.
В 2020 году при наличии нераспределенного после формирования реестра получателей субсидии в отношении договоров о реализации продукции, заключенных в 2019 году, объема средств субсидии в пределах лимитов бюджетных ассигнований, доведенных в установленном порядке до Министерства промышленности и торговли Российской Федерации как получателя средств федерального бюджета на цели, указанные в пункте 1 настоящих Правил, Министерство промышленности и торговли Российской Федерации проводит отбор с предварительным размещением объявления на едином портале, а также в государственной информационной системе промышленности в сети "Интернет".
Министерство промышленности и торговли Российской Федерации дает разъяснения положений объявления со дня начала до дня окончания проведения отбора.
Производитель в срок не позднее чем за 5 календарных дней до дня окончания проведения отбора имеет право отозвать заявку об участии в отборе или внести изменения в нее.
15. Для участия в отборе производитель с 10 ноября по 10 декабря соответствующего финансового года или в сроки, указанные в объявлении, представляет в Министерство промышленности и торговли Российской Федерации заявку об участии в отборе в произвольной форме, подписанную руководителем производителя (уполномоченным лицом с представлением документов, подтверждающих полномочия указанного лица), с приложением:
а) выписки из Единого государственного реестра юридических лиц, или выписки из Единого государственного реестра индивидуальных предпринимателей, или сведений о юридическом лице или индивидуальном предпринимателе, полученных с официального сайта Федеральной налоговой службы в сети "Интернет" в форме электронного документа, на дату не ранее чем за 30 календарных дней до дня подачи заявки об участии в отборе (в случае непредставления производителем такого документа Министерство промышленности и торговли Российской Федерации запрашивает его самостоятельно);
б) справки налогового органа, подтверждающей отсутствие у производителя по состоянию на дату не ранее чем за 30 календарных дней до дня подачи заявки об участии в отборе неисполненной обязанности по уплате налогов, сборов, страховых взносов, пеней, штрафов и процентов, подлежащих уплате в соответствии с законодательством Российской Федерации о налогах и сборах (в случае непредставления производителем такого документа Министерство промышленности и торговли Российской Федерации запрашивает его самостоятельно);
в) справки, подписанной руководителем (уполномоченным лицом с представлением документов, подтверждающих полномочия указанного лица) и главным бухгалтером (при наличии) производителя, подтверждающей соответствие производителя по состоянию на дату не ранее чем за 30 календарных дней до дня подачи заявки об участии в отборе требованиям, установленным подпунктами "б" - "е" пункта 10 настоящих Правил, в произвольной форме;
г) справки, подписанной руководителем (уполномоченным лицом с представлением документов, подтверждающих полномочия указанного лица) и главным бухгалтером (при наличии) производителя, с указанием перечня моделей продукции и (или) их модификаций, предлагаемых производителем к реализации на территории Российской Федерации в соответствующем календарном году, кодов Общероссийского классификатора продукции по видам экономической деятельности (ОКПД 2) и цены реализации продукции (без вычета скидки и без учета налога на добавленную стоимость), соответствующих требованиям настоящих Правил, в произвольной форме;
д) справки, подписанной руководителем (уполномоченным лицом с представлением документов, подтверждающих полномочия указанного лица) и главным бухгалтером (при наличии) производителя, подтверждающей обязательство производителя достигнуть запланированный результат предоставления субсидии в соответствующем финансовом году с указанием значения данного результата, в произвольной форме;
е) сведений о запрашиваемом в соответствующем финансовом году размере субсидии и о запланированном к достижению показателе, необходимом для достижения результата предоставления субсидии, подписанных руководителем (уполномоченным лицом с представлением документов, подтверждающих полномочия указанного лица) и главным бухгалтером (при наличии) производителя, в произвольной форме;
ж) в отношении продукции, предусмотренной перечнем критериев определения функциональных характеристик (потребительских свойств) и эффективности сельскохозяйственной техники и оборудования, утвержденным постановлением Правительства Российской Федерации от 1 августа 2016 г. N 740 "Об определении функциональных характеристик (потребительских свойств) и эффективности сельскохозяйственной техники и оборудования", - копии решения о ее соответствии установленным в указанном перечне критериям по каждой модели, заверенной руководителем (уполномоченным лицом с представлением документов, подтверждающих полномочия указанного лица) и главным бухгалтером (при наличии) производителя (для заявок об участии в отборе, представляемых начиная с 1 января 2022 г.);
з) справки, подписанной руководителем производителя (уполномоченным лицом с представлением документов, подтверждающих полномочия указанного лица), о наличии прав на конструкторскую и технологическую документацию в объеме, необходимом для осуществления разработки, производства, модернизации и обслуживания продукции и компонентов к ней, по форме, предусмотренной приложением N 3 к настоящим Правилам (с приложением на электронном носителе копий документов, подтверждающих указанные права);
и) справки, подписанной руководителем производителя (уполномоченным лицом с представлением документов, подтверждающих полномочия указанного лица), о наличии технической документации, подтверждающей осуществление на территории Российской Федерации производителем и контрагентом (контрагентами) производителя (в случае осуществления им (ими) части технологических операций) технологических операций при производстве продукции, по форме, предусмотренной приложением N 4 к настоящим Правилам (с приложением на электронном носителе копий документов, подтверждающих выполнение технологических операций);
к) в отношении продукции, произведенной в рамках инвестиционного контракта, - подписанных руководителем (уполномоченным лицом с представлением документов, подтверждающих полномочия указанного лица) и главным бухгалтером (при наличии) производителя копий инвестиционного контракта и отчета об исполнении принятых по инвестиционному контракту обязательств;
л) справки о наличии взаимозависимости производителя с иным производителем (группой производителей), выпускающим продукцию (в случае наличия такой взаимозависимости в соответствии с пунктом 1 статьи 105.1 Налогового кодекса Российской Федерации), подписанной руководителем (уполномоченным лицом с представлением документов, подтверждающих полномочия указанного лица) и главным бухгалтером (при наличии) производителя, в произвольной форме;
м) согласие на публикацию (размещение) в сети "Интернет" информации о производителе, о подаваемой производителем заявке об участии в отборе, иной информации о производителе, связанной с отбором, а также согласие на обработку персональных данных (для индивидуального предпринимателя) в произвольной форме.
16. Министерство промышленности и торговли Российской Федерации:
а) регистрирует в порядке поступления заявки об участии в отборе и документы, указанные в пункте 15 настоящих Правил;
б) проверяет в течение 15 рабочих дней со дня окончания подачи заявок об участии в отборе и документов, указанных в пункте 15 настоящих Правил, полноту и достоверность содержащихся в них сведений;
в) в случае, если запрашиваемый производителем (группой производителей, являющихся взаимозависимыми лицами, признанными таковыми в соответствии с пунктом 1 статьи 105.1 Налогового кодекса Российской Федерации) размер субсидии превышает 70 процентов лимитов бюджетных обязательств, доведенных в установленном порядке до Министерства промышленности и торговли Российской Федерации как получателя средств федерального бюджета на цели, предусмотренные пунктом 1 настоящих Правил, осуществляет уменьшение размера субсидии производителя (каждого производителя из группы производителей, являющихся взаимозависимыми лицами, признанными таковыми в соответствии с пунктом 1 статьи 105.1 Налогового кодекса Российской Федерации) с учетом пункта 8 настоящих Правил и пропорциональное снижение результата предоставления субсидии для такого производителя (каждого производителя из группы производителей, являющихся взаимозависимыми лицами, признанными таковыми в соответствии с пунктом 1 статьи 105.1 Налогового кодекса Российской Федерации). В таком случае обязательство производителя (каждого производителя из группы производителей, являющихся взаимозависимыми лицами, признанными таковыми в соответствии с пунктом 1 статьи 105.1 Налогового кодекса Российской Федерации) достигнуть запланированный результат предоставления субсидии в соответствующем финансовом году, предусмотренное подпунктом "д" пункта 15 настоящих Правил, будет относиться к пропорционально сниженному результату предоставления субсидии.
В случае если совокупный размер запрашиваемой производителями в рамках отбора субсидии превышает нераспределенные средства субсидии в пределах лимитов бюджетных обязательств, доведенных в установленном порядке до Министерства промышленности и торговли Российской Федерации как получателя средств федерального бюджета на цели, предусмотренные пунктом 1 настоящих Правил, в том числе после действий, указанных в абзаце первом настоящего подпункта, Министерство промышленности и торговли Российской Федерации осуществляет пропорциональное уменьшение запрашиваемого размера субсидии и пропорциональное снижение результата предоставления субсидии для каждого производителя. В таком случае обязательство производителя достигнуть запланированный результат предоставления субсидии в соответствующем финансовом году, предусмотренное подпунктом "д" пункта 15 настоящих Правил, будет относиться к пропорционально сниженному результату предоставления субсидии;
г) в течение 20 рабочих дней со дня подачи заявок об участии в отборе документов, указанных в пункте 15 настоящих Правил, формирует проект реестра получателей субсидии, включая в него производителей, которые ранее не были включены в реестр получателей субсидии на соответствующий финансовый год, перечень производителей, не прошедших отбор (при необходимости), по форме согласно приложению N 6, а также перечень производителей, заявки которых были рассмотрены, по форме согласно приложению N 7 и размещает их на едином портале и в государственной информационной системе промышленности в сети "Интернет";
д) заключает с производителями, включенными в проект реестра получателей субсидии, соглашения о предоставлении субсидии в течение 10 рабочих дней со дня размещения проекта реестра получателей субсидии. В случае если производитель не подписывает соглашение о предоставлении субсидии в течение 5 рабочих дней со дня его поступления на подписание с использованием государственной интегрированной информационной системы управления общественными финансами "Электронный бюджет", Министерство промышленности и торговли Российской Федерации признает производителя уклонившимся от заключения соглашения о предоставлении субсидии, уведомляет об этом производителя и возвращает заявку об участии в отборе и документы, представленные производителем в соответствии с пунктом 15 настоящих Правил;
е) в течение 5 рабочих дней со дня окончания срока заключения соглашений о предоставлении субсидии, установленного подпунктом "д" настоящего пункта, формирует реестр получателей субсидии и размещает его на едином портале и в государственной информационной системе промышленности в сети "Интернет";
ж) в течение 10 рабочих дней со дня окончания проверки, предусмотренной подпунктом "б" настоящего пункта, уведомляет производителя о непрохождении отбора и возвращает заявку об участии в отборе с прилагаемыми документами с указанием оснований, предусмотренных пунктом 17 настоящих Правил;
з) в случае, если производитель был включен в реестр получателей субсидии на соответствующий финансовый год, вместо действий, указанных в подпунктах "г" - "е" настоящего пункта, заключает с производителем дополнительное соглашение к соглашению о предоставлении субсидии и корректирует реестр получателей субсидии, суммируя размеры субсидии на соответствующий финансовый год, результаты предоставления субсидии, а также осуществляя пересчет показателя, необходимого для достижения результата предоставления субсидии, для такого производителя, в течение 15 рабочих дней со дня окончания проверки, предусмотренной подпунктом "б" настоящего пункта.
В случае если производитель не подписывает дополнительное соглашение к соглашению о предоставлении субсидии в течение 5 рабочих дней со дня его поступления на подписание с использованием государственной интегрированной информационной системы управления общественными финансами "Электронный бюджет", Министерство промышленности и торговли Российской Федерации признает производителя уклонившимся от заключения дополнительного соглашения к соглашению о предоставлении субсидии, уведомляет об этом производителя и возвращает заявку об участии в отборе и документы, представленные производителем в соответствии с пунктом 15 настоящих Правил.
Скорректированный реестр получателей субсидии, перечень производителей, не прошедших отбор (при необходимости), по форме, предусмотренной приложением N 6 к настоящим Правилам, а также перечень производителей, заявки об участии в отборе которых были рассмотрены, по форме, предусмотренной приложением N 7 к настоящим Правилам, в течение 5 рабочих дней со дня окончания срока заключения дополнительных соглашений к соглашениям о предоставлении субсидии, установленного абзацем первым настоящего подпункта, размещается Министерством промышленности и торговли Российской Федерации на едином портале и в государственной информационной системе промышленности в сети "Интернет".
17. Производитель признается не прошедшим отбор и его заявка об участии в отборе отклоняется в следующих случаях:
а) непредставление (представление не в полном объеме) документов, указанных в пункте 15 настоящих Правил и в объявлении, нарушение сроков их представления, установленных пунктом 15 настоящих Правил или в объявлении, недостоверность информации, указанной в документах, предусмотренных пунктом 15 настоящих Правил и объявлением, и (или) несоответствие представленных документов требованиям, установленным пунктами 9 и 10 настоящих Правил и объявлением;
б) значение показателя, необходимого для достижения результата предоставления субсидии, составляет менее 6;
в) производителем и контрагентом (контрагентами) производителя (в случае осуществления им (ими) части технологических операций) в полном объеме не выполнены технологические операции, предусмотренные приложением N 1 к настоящим Правилам.
18. Министерство промышленности и торговли Российской Федерации направляет не позднее 15 календарных дней после размещения реестра получателей субсидии на едином портале и в государственной информационной системе промышленности в сети "Интернет" в Министерство сельского хозяйства Российской Федерации перечень моделей продукции и их модификаций, предлагаемых производителем к реализации в соответствующем календарном году на территории Российской Федерации, с указанием наименований производителей, реализующих соответствующую продукцию, и кодов Общероссийского классификатора продукции по видам экономической деятельности (ОКПД 2) для размещения на официальном сайте Министерства сельского хозяйства Российской Федерации в сети "Интернет".
19. В случае наличия нераспределенного объема средств субсидии в пределах лимитов бюджетных обязательств, доведенных в установленном порядке до Министерства промышленности и торговли Российской Федерации как получателя средств федерального бюджета на цели, указанные в пункте 1 настоящих Правил, Министерство промышленности и торговли Российской Федерации вправе провести повторный отбор с предварительным размещением объявления о проведении повторного отбора в срок не позднее 3 календарных дней до даты начала проведения повторного отбора на едином портале, а также в сети "Интернет". Повторный отбор проводится в соответствии с пунктами 14 - 17 настоящих Правил.
20. Субсидии предоставляются Министерством промышленности и торговли Российской Федерации ежемесячно в переделах лимитов бюджетных обязательств, доведенных в установленном порядке до Министерства промышленности и торговли Российской Федерации как получателя средств федерального бюджета на цели, указанные в пункте 1 настоящих Правил.
21. Субсидия предоставляется производителю при выполнении следующих условий:
а) продукция произведена не ранее 1 января года, предшествующего календарному году, в котором был заключен договор о реализации продукции;
б) производителями, включенными в реестр получателей субсидии в отношении договоров о реализации продукции, заключенных в 2019 году, договор о реализации продукции заключен в 2019 году и поставка продукции по нему осуществлена не позднее 31 декабря 2019 г.;
в) производителями, включенными в реестр получателей субсидии, договор о реализации продукции заключен не ранее 1 октября года, предшествующего текущему финансовом году (для получения субсидии в 2020 году - не ранее 1 ноября 2019 г.), и поставка продукции по нему осуществлена не ранее 1 января текущего финансового года;
г) сведения о производителе, предусмотренные постановлением Правительства Российской Федерации от 21 декабря 2017 г. N 1604 "О предоставлении субъектами деятельности в сфере промышленности, органами государственной власти и органами местного самоуправления информации для включения в государственную информационную систему промышленности и размещении информации государственной информационной системы промышленности в открытом доступе в информационно-телекоммуникационной сети "Интернет", размещены в государственной информационной системе промышленности в сети "Интернет";
д) государственная поддержка производства и реализации одной и той же единицы продукции оказывается производителю один раз в течение срока службы такой единицы продукции, за исключением государственной поддержки, оказываемой в рамках постановлений Правительства Российской Федерации от 10 февраля 2018 г. N 145 "Об утверждении Правил предоставления субсидий из федерального бюджета российским производителям на компенсацию части затрат, связанных с выпуском и поддержкой гарантийных обязательств в отношении высокопроизводительной сельскохозяйственной самоходной и прицепной техники, и признании утратившими силу некоторых актов Правительства Российской Федерации" и от 10 февраля 2018 г. N 146 "Об утверждении Правил предоставления субсидий из федерального бюджета российским производителям на компенсацию части затрат, связанных с выпуском и поддержкой гарантийных обязательств в отношении высокопроизводительной самоходной и прицепной техники, и признании утратившими силу некоторых актов Правительства Российской Федерации".
22. Для получения субсидии производитель, включенный в реестр получателей субсидии в отношении договоров о реализации продукции, заключенных в 2019 году, и (или) реестр получателей субсидии, представляет в Министерство промышленности и торговли Российской Федерации не чаще одного раза в месяц не позднее 10-го числа соответствующего финансового года заявление о предоставлении субсидии по форме, приведенной в соглашении о предоставлении субсидии, подписанное руководителем (уполномоченным лицом с представлением документов, подтверждающих полномочия указанного лица) производителя, с приложением следующих документов, заверенных руководителем (уполномоченным лицом с представлением документов, подтверждающих полномочия указанного лица) и главным бухгалтером (при наличии) производителя:
а) справка для получения субсидии по форме согласно приложению N 8. Заверенные руководителем (уполномоченным лицом с представлением документов, подтверждающих полномочия указанного лица) и главным бухгалтером (при наличии) производителя копии документов, подтверждающих достоверность сведений, указанных в справке для получения субсидии, хранятся у производителя в течение 5 лет со дня перечисления Министерством промышленности и торговли Российской Федерации субсидии в установленном порядке на расчетный счет производителя, открытый в учреждениях Центрального банка Российской Федерации или кредитных организациях, в соответствии с пунктом 31 настоящих Правил;
б) расчет размера субсидии по форме согласно приложению N 9;
в) справка о выполнении производителем требований, предусмотренных пунктами 3 и 5 Правил предоставления субъектами деятельности в сфере промышленности, органами государственной власти и органами местного самоуправления информации для включения в государственную информационную систему промышленности, утвержденных постановлением Правительства Российской Федерации от 21 декабря 2017 г. N 1604 "О предоставлении субъектами деятельности в сфере промышленности, органами государственной власти и органами местного самоуправления информации для включения в государственную информационную систему промышленности и размещении информации государственной информационной системы промышленности в открытом доступе в информационно-телекоммуникационной сети "Интернет".
23. Министерство промышленности и торговли Российской Федерации при рассмотрении заявлений о предоставлении субсидии:
а) регистрирует заявления о предоставлении субсидии и документы, указанные в пункте 22 настоящих Правил, в порядке их поступления;
б) в течение 15 рабочих дней со дня регистрации заявлений и документов, указанных в пункте 22 настоящих Правил, проверяет их, в том числе полноту и достоверность содержащихся в них сведений и их соответствие требованиям настоящих Правил, и принимает решения о предоставлении субсидии либо об отказе в предоставлении субсидии;
в) в случае принятия решения об отказе в предоставлении субсидии в течение 10 рабочих дней со дня окончания проверки, предусмотренной подпунктом "б" настоящего пункта, направляет производителю уведомление об отказе в предоставлении субсидии с приложением заявления о предоставлении субсидии и документов, представленных производителем в соответствии с пунктом 22 настоящих Правил.
24. Министерство промышленности и торговли Российской Федерации отказывает производителю в предоставлении субсидии в следующих случаях:
а) несоответствие представленных документов требованиям пунктов 3 - 7, 21 и 22 настоящих Правил, непредставление (представление не в полном объеме) указанных документов, нарушение сроков их представления, а также выявление в представленных документах недостоверной информации;
б) превышение производителем объемов средств субсидии на текущий финансовый год, предусмотренных реестром получателей субсидии в отношении договоров о реализации продукции, заключенных в 2019 году, и (или) реестром получателей субсидии;
в) наличие у производителя просроченной задолженности по денежным обязательствам перед Российской Федерацией, определенным в статье 93.4 Бюджетного кодекса Российской Федерации.
25. Производитель вправе в отношении моделей продукции и (или) их модификаций, которые ранее не были представлены производителем в Министерство промышленности и торговли Российской Федерации, не чаще одного раза в год представлять в Министерство промышленности и торговли Российской Федерации заявление о включении в перечень моделей продукции и (или) их модификаций, предлагаемых производителем к реализации на территории Российской Федерации в соответствующем календарном году, новых моделей продукции и (или) их модификаций с приложением:
а) справки, подписанной руководителем (уполномоченным лицом с представлением документов, подтверждающих полномочия указанного лица) и главным бухгалтером (при наличии) производителя, с указанием перечня новых моделей продукции и (или) их модификаций, предлагаемых производителем к реализации на территории Российской Федерации в соответствующем календарном году, кодов Общероссийского классификатора продукции по видам экономической деятельности (ОКПД 2) и цены реализации новых моделей продукции и (или) их модификаций (без вычета скидки и без учета налога на добавленную стоимость), соответствующих требованиям настоящих Правил, в произвольной форме;
б) справки, подписанной руководителем производителя (уполномоченным лицом с представлением документов, подтверждающих полномочия указанного лица), о наличии прав на конструкторскую и технологическую документацию в объеме, необходимом для осуществления разработки, производства, модернизации и обслуживания новых моделей продукции и (или) их модификаций и компонентов к ним, по форме, предусмотренной приложением N 3 к настоящим Правилам (с приложением на электронном носителе копий документов, подтверждающих указанные права);
в) справки, подписанной руководителем производителя (уполномоченным лицом с представлением документов, подтверждающих полномочия указанного лица), о наличии технической документации, подтверждающей осуществление на территории Российской Федерации производителем и контрагентом (контрагентами) производителя (в случае осуществления им (ими) части технологических операций) технологических операций при производстве новых моделей продукции и (или) их модификаций, по форме, предусмотренной приложением N 4 к настоящим Правилам (с приложением на электронном носителе копий документов, подтверждающих выполнение технологических операций).
26. Министерство промышленности и торговли Российской Федерации:
а) регистрирует заявления и документы, указанные в пункте 25 настоящих Правил, в порядке их поступления;
б) в течение 15 рабочих дней со дня регистрации заявлений и документов, указанных в пункте 25 настоящих Правил, проверяет их, в том числе полноту и достоверность содержащихся в них сведений и их соответствие требованиям настоящих Правил, и принимает решение о включении новых моделей продукции и (или) их модификаций в перечень моделей продукции и (или) их модификаций, предлагаемых производителем к реализации на территории Российской Федерации в соответствующем календарном году, либо об отказе во включении новых моделей продукции и (или) их модификаций в указанный перечень;
в) направляет производителю уведомление об отказе во включении новых моделей продукции и (или) их модификаций в перечень моделей продукции и (или) их модификаций, предлагаемых производителем к реализации на территории Российской Федерации в соответствующем календарном году, представленных производителем в соответствии с пунктом 25 настоящих Правил, в случае несоответствия представленных документов требованиям пункта 25 настоящих Правил, непредставления (представления не в полном объеме) указанных документов, нарушения порядка их представления, а также наличия в представленных документах недостоверной информации;
г) направляет не позднее 15 календарных дней со дня принятия решения о включении новых моделей продукции и (или) их модификаций в перечень моделей продукции и (или) их модификаций, предлагаемых производителем к реализации на территории Российской Федерации в соответствующем календарном году, в Министерство сельского хозяйства Российской Федерации перечень новых моделей продукции и (или) их модификаций, предлагаемых производителем к реализации на территории Российской Федерации в соответствующем календарном году, с указанием наименований производителей, реализующих соответствующую продукцию, и кодов Общероссийского классификатора продукции по видам экономической деятельности (ОКПД 2) для размещения на официальном сайте Министерства сельского хозяйства Российской Федерации в сети "Интернет".
27. В случае сокращения в текущем финансовом году потребности в средствах субсидии производитель, включенный в реестр получателей субсидии в отношении договоров о реализации продукции, заключенных в 2019 году, и (или) реестр получателей субсидии, не позднее 1 октября текущего финансового года представляет в Министерство промышленности и торговли Российской Федерации скорректированные сведения о потребности в средствах субсидии на текущий финансовый год, подписанные руководителем (уполномоченным лицом с представлением документов, подтверждающих полномочия указанного лица) и главным бухгалтером (при наличии) производителя. На основании указанных сведений Министерство промышленности и торговли Российской Федерации не позднее 15 октября текущего финансового года обеспечивает:
а) корректировку реестра получателей субсидии в отношении договоров о реализации продукции, заключенных в 2019 году, и (или) реестра получателей субсидии в части уменьшения размеров средств субсидии на текущий финансовый год;
б) размещение скорректированного реестра получателей субсидии в отношении договоров о реализации продукции, заключенных в 2019 году, и (или) реестра получателей субсидии на едином портале и в государственной информационной системе промышленности в сети "Интернет".
28. Представление производителем, включенным в реестр получателей субсидии в отношении договоров о реализации продукции, заключенных в 2019 году, и (или) в реестр получателей субсидии, не позднее 1 октября текущего финансового года сведений о сокращении в текущем финансовом году потребности в средствах субсидии и неиспользование по итогам текущего финансового года средств субсидии в соответствии с реестром получателей субсидии в отношении договоров о реализации продукции, заключенных в 2019 году, и (или) в соответствии с реестром получателей субсидии влекут применение к такому производителю штрафных санкций (Свозвр), размер которых определяется по формуле:
Sп - объем средств субсидии в соответствии с реестром получателей субсидии в отношении договоров о реализации продукции, заключенных в 2019 году, и (или) реестром получателей субсидии;
Sф - объем средств субсидии, фактически предоставленных производителю в текущем финансовом году в соответствии с реестром получателей субсидии в отношении договоров о реализации продукции, заключенных в 2019 году, и (или) реестром получателей субсидии;
k - коэффициент возврата, учитывающий средний размер ключевой ставки, устанавливаемой Центральным банком Российской Федерации, за период предоставления субсидии в текущем финансовом году, выраженный в долях единицы.
29. Коэффициент возврата, учитывающий средний размер ключевой ставки, устанавливаемой Центральным банком Российской Федерации, за период предоставления субсидии в текущем финансовом году (k), определяется по формуле:
n - количество периодов, в которых в текущем финансовом году, начиная с даты заключения производителем соглашения о предоставлении субсидии, изменялось значение ключевой ставки, устанавливаемой Центральным банком Российской Федерации;
ki - выраженный в долях единицы размер устанавливаемой Центральным банком Российской Федерации в текущем финансовом году, начиная с даты заключения производителем соглашения о предоставлении субсидии, ключевой ставки в i-м периоде;
di - количество календарных дней начиная с даты заключения производителем соглашения о предоставлении субсидии в периоде, в котором в текущем финансовом году изменялось значение ключевой ставки, устанавливаемой Центральным банком Российской Федерации.
30. Непредставление производителем, включенным в реестр получателей субсидии в отношении договоров о реализации продукции, заключенных в 2019 году, и (или) в реестр получателей субсидии, до 1 октября текущего финансового года сведений о сокращении в текущем финансовом году потребности в средствах субсидии и неиспользование по итогам текущего финансового года средств субсидии в соответствии с реестром получателей субсидии в отношении договоров о реализации продукции, заключенных в 2019 году, и (или) в соответствии с реестром получателей субсидии влекут применение к такому производителю штрафных санкций (Снеисп), размер которых определяется по формуле:
Sп - объем средств субсидии в соответствии с реестром получателей субсидии в отношении договоров о реализации продукции, заключенных в 2019 году, и (или) реестром получателей субсидии;
Sф - объем средств субсидии, фактически предоставленных производителю в текущем финансовом году в соответствии с реестром получателей субсидии в отношении договоров о реализации продукции, заключенных в 2019 году, и (или) реестром получателей субсидии;
k - коэффициент возврата, учитывающий средний размер ключевой ставки, устанавливаемой Центральным банком Российской Федерации, за период предоставления субсидии в текущем финансовом году, выраженный в долях единицы.
31. Министерство промышленности и торговли Российской Федерации не позднее 10-го рабочего дня, следующего за днем принятия решения о предоставлении субсидии, обеспечивает перечисление субсидии в установленном порядке на расчетный счет производителя, открытый в учреждениях Центрального банка Российской Федерации или кредитных организациях.
32. Производитель обязан в течение 25 рабочих дней со дня окончания финансового года получения субсидии представить в Министерство промышленности и торговли Российской Федерации отчет о достижении результата предоставления субсидии и показателя, необходимого для достижения результата предоставления субсидии, указанных в реестре получателей субсидии в отношении договоров о реализации продукции, заключенных в 2019 году, и (или) реестре получателей субсидии, подписанный руководителем (уполномоченным лицом с представлением документов, подтверждающих полномочия указанного лица) и главным бухгалтером (при наличии) производителя, по форме, предусмотренной типовой формой соглашения о предоставлении субсидии, установленной Министерством финансов Российской Федерации для соглашений о предоставлении из федерального бюджета субсидий юридическим лицам на возмещение затрат в связи с производством (реализацией) товаров, выполнением работ, оказанием услуг.
33. В случае недостижения производителем показателя, необходимого для достижения результата предоставления субсидии, указанного в реестре получателей субсидии в отношении договоров о реализации продукции, заключенных в 2019 году, и (или) реестре получателей субсидии, производителем уплачивается штраф в размере одного процента объема полученной производителем субсидии в сроки и на основании документов, указанных в подпункте "а" пункта 37 настоящих Правил.
34. В случае недостижения результата предоставления субсидии, указанного в реестре получателей субсидии в отношении договоров о реализации продукции, заключенных в 2019 году, и (или) реестре получателей субсидии, средства субсидии в части, пропорциональной величине недостижения такого результата в стоимостном выражении, подлежат возврату в доход федерального бюджета в сроки и на основании документов, указанных в подпункте "а" пункта 37 настоящих Правил.
35. В случае нарушения производителем срока представления в Министерство промышленности и торговли Российской Федерации отчета, предусмотренного пунктом 32 настоящих Правил, производитель уплачивает штраф в размере одной трехсотой ключевой ставки Центрального банка Российской Федерации, действующей по состоянию на 26 рабочий день со дня окончания финансового года получения субсидии производителем, за каждый день просрочки от объема полученной производителем субсидии в доход федерального бюджета на основании документов, указанных в подпункте "а" пункта 37 настоящих Правил.
36. Министерство промышленности и торговли Российской Федерации и (или) уполномоченные органы государственного финансового контроля проводят обязательные проверки соблюдения производителем порядка, целей и условий предоставления субсидии.
37. В случае установления по итогам проверок, проведенных Министерством промышленности и торговли Российской Федерации и (или) уполномоченным органом государственного финансового контроля, фактов несоблюдения производителем условий, установленных при предоставлении субсидии, соответствующие средства в размере выявленных нарушений подлежат возврату в доход федерального бюджета:
а) на основании требования Министерства промышленности и торговли Российской Федерации - не позднее 10-го рабочего дня со дня получения производителем указанного требования;
б) на основании представления и (или) предписания уполномоченного органа государственного финансового контроля - в сроки, установленные в соответствии с бюджетным законодательством Российской Федерации.
к Правилам предоставления
субсидий производителям
сельскохозяйственной техники
СЕЛЬСКОХОЗЯЙСТВЕННОЙ ТЕХНИКИ ИЛИ ОБОРУДОВАНИЯ
|
Код Общероссийского классификатора продукции по видам экономической деятельности (ОКПД 2) |
Требования к технологическим операциям, осуществляемым производителем и контрагентом (контрагентами) производителя (в случае осуществления им (ими) части технологических операций) на территории Российской Федерации |
|
|
сборка и сварка несущей рамы (рамной конструкции), ее покраска; производство моста (мостов) или двигателя либо сборка гусеничной ходовой системы; производство молотильно-сепарирующего устройства, включая раскрой и гибку заготовок, сварку, сборку и покраску; производство молотильного барабана или ротора молотильно-сепарирующего устройства, включая раскрой и гибку заготовок, сварку, сборку и покраску; сборка моторно-силовой установки, или трансмиссии, или моста (мостов); сборка (при необходимости покраска) элементов экстерьера; производство кабины, включая раскрой и гибку заготовок, сварку, сборку и покраску; производство бункера (при наличии в конструкции), включая раскрой и гибку заготовок, сварку (при необходимости) и покраску; производство навесного оборудования (жатки, адаптера), включая раскрой и гибку заготовок, сварку и сборку; производство навесных устройств, включая сварку и сборку; монтаж и покраска моторно-силовой установки, мостов либо гусеничной ходовой системы, трансмиссии, навесных устройств |
||
|
комбайны зерноуборочные в комплектации: агрегат молотильный без навесного оборудования |
||
|
сборка и сварка несущей рамы (рамной конструкции), ее покраска; производство моста (мостов) или двигателя; производство, включая раскрой и гибку заготовок, сварку, сборку и покраску, питающего аппарата, измельчающего и выгрузного устройств; производство ротора измельчающего устройства, включая раскрой и гибку заготовок, сварку, сборку, балансировку и покраску; сборка моторно-силовой установки, или трансмиссии, или моста (мостов); сборка (при необходимости окраска) элементов экстерьера; производство кабины, включая раскрой и гибку заготовок, сварку, сборку и покраску; производство навесного оборудования (жатки, адаптера), включая раскрой и гибку заготовок, сварку и сборку; производство навесных устройств, включая сварку и сборку; монтаж и покраска моторно-силовой установки, мостов, трансмиссии, навесных устройств |
||
|
комбайны кормоуборочные в комплектации: агрегат измельчающий без навесного оборудования |
||
|
тракторы сельскохозяйственные общего назначения, тракторы сельскохозяйственные универсальные, тракторы сельскохозяйственные универсально-пропашные и тракторы специальные |
производство, сборка и сварка (при необходимости) несущей рамы (при ее наличии), ее покраска; производство моста (мостов), или трансмиссии, или двигателя; сборка моторно-силовой установки, трансмиссии, моста (мостов); производство, сборка и покраска (при необходимости) элементов экстерьера; производство кабины, включая раскрой и гибку заготовок, сварку, сборку и покраску; монтаж и покраска моторного агрегата, осей и мостов, трансмиссии, навесного устройства; монтаж системы электрооборудования; сборка и монтаж гидрооборудования |
|
|
бульдозеры (в том числе с рыхлителями) на гусеничных тракторах тяговых классов от 6-го до 10-го |
||
|
сварка несущей рамы и рамных конструкций, корпусов, бункеров (из металла) (производство неметаллических бункеров), навесного устройства, рабочих органов, элементов экстерьера; покраска несущей рамы и рамных конструкций, корпусов и бункеров (при необходимости), навесного устройства и рабочих органов, элементов экстерьера; сборка несущей рамы и рамных конструкций, корпусов и бункеров, навесного устройства и рабочих органов, элементов экстерьера; сборка электрооборудования (при наличии), пневмооборудования (при наличии), гидрооборудования (при наличии); монтаж несущей рамы и рамных конструкций, корпусов, бункеров, навесного устройства, рабочих органов, элементов экстерьера; монтаж электрооборудования (при наличии), пневмооборудования (при наличии), гидрооборудования (при наличии) |
||
|
самоходные машины для внесения минеральных удобрений, средств защиты растений и извести |
||
|
сборка и сварка несущей рамы (рамной конструкции), ее покраска; производство мостов; производство, включая раскрой и гибку заготовок, сварку, сборку и покраску, теребильного аппарата (для комбайна и теребилки), подбирающего аппарата (для оборачивателя и пресс-подборщика); сборка моторно-силовой установки, или трансмиссии, или моста (мостов); сборка (при необходимости покраска) элементов экстерьера; производство кабины, включая раскрой и гибку заготовок, сварку, сборку и покраску; производство бункера (при наличии в конструкции), включая раскрой и гибку заготовок, сварку (при необходимости) и покраску; монтаж и окраска моторно-силовой установки, мостов, трансмиссии |
||
|
сварка несущей рамы и рамных конструкций, корпусов, бункеров (из металла) (производство неметаллических бункеров), навесного устройства, рабочих органов, элементов экстерьера; покраска несущей рамы и рамных конструкций, корпусов и бункеров (при необходимости), навесного устройства и рабочих органов, элементов экстерьера; сборка несущей рамы и рамных конструкций, корпусов и бункеров, навесного устройства и рабочих органов, элементов экстерьера; сборка электрооборудования (при наличии), пневмооборудования (при наличии), гидрооборудования (при наличии); монтаж несущей рамы и рамных конструкций, корпусов, бункеров, навесного устройства, рабочих органов, элементов экстерьера; монтаж электрооборудования (при наличии), пневмооборудования (при наличии), гидрооборудования (при наличии) |
||
|
производство рамы - резка, рубка, раскрой, сварка, сборка, покраска; производство рабочих органов (вальцов, валов, зубчатых колес, барабанов, шнеков, роликов) - литье, ковка, штамповка, механическая обработка, сварка; производство вентиляционной системы - раскрой, механическая обработка, сборка, покраска; производство элементов экстерьера - раскрой, гибка, штамповка, формование, механическая обработка, сварка, покраска; сборка электрооборудования, пневмооборудования, гидрооборудования; монтаж электрооборудования, пневмооборудования, гидрооборудования сварка несущей рамы и рамных конструкций, корпусов, бункеров (из металла) (производство неметаллических бункеров), навесного устройства, рабочих органов, элементов экстерьера; покраска несущей рамы и рамных конструкций, корпусов и бункеров (при необходимости), навесного устройства и рабочих органов, элементов экстерьера; сборка несущей рамы и рамных конструкций, корпусов и бункеров, навесного устройства и рабочих органов, элементов экстерьера; сборка электрооборудования (при наличии), пневмооборудования (при наличии), гидрооборудования (при наличии); монтаж несущей рамы и рамных конструкций, корпусов, бункеров, навесного устройства, рабочих органов, элементов экстерьера; монтаж электрооборудования (при наличии), пневмооборудования (при наличии), гидрооборудования (при наличии) |
||
|
мяльно-трепальные агрегаты для послеуборочной обработки льнотресты |
||
|
куделеприготовительные агрегаты для послеуборочной обработки льнотресты |
||
|
машины комбинированные и универсальные, плуги общего назначения, дисковые бороны |
||
|
косилки навесные и прицепные, плющилки тракторные, волокуши тракторные, ворошилки и пресс-подборщики |
||
|
картофелесажалки, опрыскиватели и аэрозольные аппараты, машины для уборки зерновых, масличных, бобовых и крупяных культур (кроме зерноуборочных комбайнов) |
||
|
культиваторы для сахарной свеклы неполивной, овощей сеяных (низкостебельных культур) и культиваторы для кукурузы, подсолнечника, картофеля, капусты, томатов, сахарной свеклы поливной (высокостебельных культур) |
||
|
сцепки тракторные, приспособления и тележки для перемещения адаптеров зерноуборочных и кормоуборочных комбайнов |
||
|
бороны ножевые, игольчатые, ротационные, пружинные, шарнирные |
||
|
сушилки для послеуборочной сушки зерна перед закладкой на хранение |
||
|
транспортеры сельскохозяйственные для зерна (и отходов) и зернопогрузчики |
||
|
загрузчики сельскохозяйственные и разгрузчики сельскохозяйственные |
||
|
прицепы и полуприцепы раздатчики кормов для ферм крупного рогатого скота и раздатчики кормов для свиноферм |
||
|
механическая обработка, штамповка и сварка несущих и рамных конструкций (при наличии в конструкции), корпусов (при наличии в конструкции); производство отливок из алюминиевых и цинковых сплавов; производство пластмассовых и резиновых деталей; сборка несущих и рамных конструкций корпусов (при наличии в конструкции), корпусов (при наличии в конструкции), рабочих органов (при наличии в конструкции); монтаж электрооборудования, пневмооборудования |
||
|
насосы и устройства для перекачивания и транспортирования молока на фермах |
||
|
механическая обработка и штамповка деталей из нержавеющей стали; сварка емкостей и несущих конструкций; шлифовка наружных и внутренних поверхностей емкостей; сборка несущих и ограждающих конструкций; монтаж, пайка и испытание на герметичность системы охлаждения, монтаж электрооборудования |
||
|
механическая обработка, штамповка и сварка несущих и рамных конструкций (при наличии в конструкции), корпусов (при наличии в конструкции); производство отливок из алюминиевых и цинковых сплавов; производство пластмассовых и резиновых деталей; сборка несущих и рамных конструкций корпусов (при наличии в конструкции), корпусов (при наличии в конструкции), рабочих органов (при наличии в конструкции); монтаж электрооборудования, пневмооборудования |
||
|
сварка несущей рамы и рамных конструкций, корпусов, бункеров (из металла) (производство неметаллических бункеров), навесного устройства, рабочих органов, элементов экстерьера; покраска несущей рамы и рамных конструкций, корпусов и бункеров (при необходимости), навесного устройства и рабочих органов, элементов экстерьера; сборка несущей рамы и рамных конструкций, корпусов и бункеров, навесного устройства и рабочих органов, элементов экстерьера; сборка электрооборудования (при наличии), пневмооборудования (при наличии), гидрооборудования (при наличии); |
||
|
машины для пахоты и глубокого рыхления (специального назначения) прочие |
||
|
монтаж несущей рамы и рамных конструкций, корпусов, бункеров, навесного устройства, рабочих органов, элементов экстерьера; |
||
|
монтаж электрооборудования (при наличии), пневмооборудования (при наличии), гидрооборудования (при наличии) |
||
|
установки искусственного досушивания сена и машины заготовки грубых кормов прочие |
||
|
жатки для уборки зерновых, масличных, бобовых и крупяных культур |
||
|
жатки для уборки трав, силоса и соломы, камыша и сахарного тростника |
||
|
машины, установки и аппараты дождевальные и поливные, насосные станции |
||
|
машины для уборки и первичной обработки свеклы и других корнеплодов прочие |
||
|
агрегаты, узлы и детали сельскохозяйственных погрузочно-разгрузочных машин периодического действия |
||
|
машины для приготовления обогатительных смесей (премиксов), белково-витаминных добавок |
||
|
жатки для уборки и первичной обработки зерновых, крупяных и масличных культур |
||
|
системы (комплекты сменных частей) переоборудования зерноуборочных комбайнов для уборки риса, кукурузы, труднообмолачиваемых зерновых культур и семенников трав |
раскрой, механическая обработка и покраска элементов (деталей); сварка и покраска узлов (сборочных единиц) |
|
|
краноманипуляторная установка, устанавливаемая на колесных транспортных средствах, используемая в сельском хозяйстве |
производство стрелы, включая раскрой и гибку заготовок, сварку, покраску и сборку; производство опорной рамы, включая раскрой и гибку заготовок, сварку, механическую обработку, покраску и сборку; производство колонны, включая раскрой и гибку заготовок, сварку, механическую обработку, покраску и сборку; производство аутригеров, включая раскрой заготовок, сварку, механическую обработку, покраску и сборку; производство элементов экстерьера, включая раскрой и гибку заготовок, сварку, покраску и сборку; монтаж опорной рамы, колонны, аутригеров, опорно-поворотного устройства, элементов экстерьера, гидрооборудования и электрооборудования, органов управления; покраска краноманипуляторной установки |
|
|
подборщики для зерноуборочных комбайнов и кормоуборочных комбайнов |
сварка несущей рамы и рамных конструкций, корпусов, бункеров (из металла) (производство неметаллических бункеров), навесного устройства, рабочих органов, элементов экстерьера; покраска несущей рамы и рамных конструкций, корпусов и бункеров (при необходимости), навесного устройства и рабочих органов, элементов экстерьера; сборка несущей рамы и рамных конструкций, корпусов и бункеров, навесного устройства и рабочих органов, элементов экстерьера; сборка электрооборудования (при наличии), пневмооборудования (при наличии), гидрооборудования (при наличии); монтаж несущей рамы и рамных конструкций, корпусов, бункеров, навесного устройства, рабочих органов, элементов экстерьера; монтаж электрооборудования (при наличии), пневмооборудования (при наличии), гидрооборудования (при наличии) |
|
|
клеточное оборудование для содержания птицы (кроме кур-несушек), кроликов, пушных зверей |
раскрой, гибка, изготовление отверстий, штамповка, сверление, механическая обработка каркаса клетки; раскрой, гибка, сварка и (или) сборка соединительных элементов, дверок, напольных и потолочных решеток, перегородок клетки; раскрой, гибка, штамповка, изготовление отверстий, сварка, сверление, механическая обработка кормораздатчика, приводной станции (системы привода) кормораздатчика, кормовых лотков (желобов) системы кормления; раскрой, гибка, штамповка, изготовление отверстий, сварка, сверление, механическая обработка металлоконструкций системы пометоудаления, поддона пометоудаления, натяжного и приводного барабана, приводов системы пометоудаления; производство лент пометоудаления и (или) поилок и (или) труб, бачков для системы поения; сборка, монтаж электрооборудования, шкафов управления |
|
|
раскрой, гибка, изготовление отверстий, штамповка, сверление, механическая обработка каркаса клетки; раскрой, гибка, сварка и (или) сборка соединительных элементов, дверок, напольных и потолочных решеток, перегородок клетки; раскрой, гибка, штамповка, изготовление отверстий, сварка, сверление, механическая обработка кормораздатчика, приводной станции (системы привода) кормораздатчика, кормовых лотков (желобов) системы кормления; раскрой, гибка, штамповка, изготовление отверстий, сварка, сверление, механическая обработка металлоконструкций системы пометоудаления, поддона пометоудаления, натяжного и приводного барабана, приводов системы пометоудаления; раскрой, гибка, штамповка, изготовление отверстий, сварка, сверление, механическая обработка натяжного и приводного барабана, приводов, металлоконструкций систем яйцесбора; производство лент пометоудаления, и (или) лент яйцесбора, и (или) поилок, и (или) труб, бачков для системы поения; сборка, монтаж электрооборудования, шкафов управления |
||
|
раскрой, гибка, штамповка, изготовление отверстий, сварка, сверление труб кормления, шнеков, бункеров системы кормления; производство кормушек системы кормления; раскрой, гибка, изготовление отверстий, сварка, литье, механическая обработка соединительных элементов, блоков (роликов), лебедки подвеса системы кормления, лебедки подвеса системы поения; производство поилок и (или) труб, бачков для системы поения; сборка, монтаж электрооборудования |
к Правилам предоставления
субсидий производителям
сельскохозяйственной техники
Форму в MS-Excel см. в Постановлении Правительства РФ от 27.12.2012 N 1432.
Дата, время и место проведения рассмотрения заявок ____________________
___________________________________________________________________________
к Правилам предоставления
субсидий производителям
сельскохозяйственной техники
Форму в MS-Word см. в Постановлении Правительства РФ от 27.12.2012 N 1432.
о наличии прав на конструкторскую и технологическую
документацию в объеме, необходимом для осуществления разработки,
производства, модернизации и обслуживания продукции
и компонентов к ней
Производитель (заявитель) _________________________________________________
Фактический адрес производства ____________________________________________
Сведения о правах на конструкторскую, технологическую и иную документацию
___________________________________________________________________________
___________________________________________________________________________
___________________________________________________________________________
Информация, приведенная в настоящей справке, соответствует
действительности. Производитель готов представить дополнительную
информацию.
К настоящей справке на электронном носителе прилагаются копии
документов, подтверждающих наличие прав на конструкторскую, технологическую
и иную документацию.
к Правилам предоставления
субсидий производителям
сельскохозяйственной техники
Форму в MS-Word см. в Постановлении Правительства РФ от 27.12.2012 N 1432.
о наличии технической документации, подтверждающей
осуществление на территории Российской Федерации производителем
и контрагентом (контрагентами) производителя (в случае
осуществления им (ими) части технологических операций)
технологических операций при производстве продукции
Производитель (заявитель) _________________________________________________
Информация, приведенная в настоящей справке, соответствует
действительности. Производитель готов представить дополнительную
информацию.
К настоящей справке на электронном носителе прилагаются копии
технологических карт технологического процесса или технологической
инструкции по процессу производства продукции с указанием перечня
технологических операций, используемых при производстве продукции.
к Правилам предоставления
субсидий производителям
сельскохозяйственной техники
Форму в MS-Word см. в Постановлении Правительства РФ от 27.12.2012 N 1432.
о проведении отбора на предоставление субсидий
производителям сельскохозяйственной техники на ____ год
--------------------------------
<*> Начиная с 2021 года срок проведения отбора не может быть меньше 30 календарных дней, следующих за днем размещения объявления. Сроки проведения повторного отбора устанавливаются Министерством промышленности и торговли Российской Федерации.
<**> В соответствии со сроками, установленными подпунктами "г" и "з" пункта 16 Правил предоставления субсидий производителям сельскохозяйственной техники, утвержденных постановлением Правительства Российской Федерации от 27 декабря 2012 г. N 1432 "Об утверждении Правил предоставления субсидий производителям сельскохозяйственной техники".
к Правилам предоставления
субсидий производителям
сельскохозяйственной техники
Форму в MS-Excel см. в Постановлении Правительства РФ от 27.12.2012 N 1432.
производителей, не прошедших отбор
Дата, время и место проведения рассмотрения заявок об участии в отборе
___________________________________________________________________________
|
Показатель, необходимый для достижения результата предоставления субсидии |
Причины отклонения заявки, в том числе положения объявления, которым не соответствует заявка |
||||||
к Правилам предоставления
субсидий производителям
сельскохозяйственной техники
Форму в MS-Excel см. в Постановлении Правительства РФ от 27.12.2012 N 1432.
производителей, заявки об участии в отборе которых
были рассмотрены
Дата, время и место проведения рассмотрения заявок об участии в отборе
___________________________________________________________________________
- Гражданский кодекс (ГК РФ)
- Жилищный кодекс (ЖК РФ)
- Налоговый кодекс (НК РФ)
- Трудовой кодекс (ТК РФ)
- Уголовный кодекс (УК РФ)
- Бюджетный кодекс (БК РФ)
- Арбитражный процессуальный кодекс
- Конституция РФ
- Земельный кодекс (ЗК РФ)
- Лесной кодекс (ЛК РФ)
- Семейный кодекс (СК РФ)
- Уголовно-исполнительный кодекс
- Уголовно-процессуальный кодекс
- Производственный календарь на 2025 год
- МРОТ 2025
- ФЗ «О банкротстве»
- О защите прав потребителей (ЗОЗПП)
- Об исполнительном производстве
- О персональных данных
- О налогах на имущество физических лиц
- О средствах массовой информации
- Производственный календарь на 2026 год
- Федеральный закон "О полиции" N 3-ФЗ
- Расходы организации ПБУ 10/99
- Минимальный размер оплаты труда (МРОТ)
- Календарь бухгалтера на 2025 год
- Частичная мобилизация: обзор новостей
- Постановление Правительства РФ N 1875



